In South Carolina, just as I was on the verge of locating my mother, my brother filed a petition to be appointed her guardian and conservator.
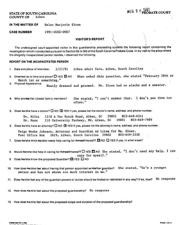
Here is a report prepared in connection with that request. On an opposing page, a box is checked which says that she opposes the appointment of Creighton as either guardian or conservator. On the page here, when asked if she wants a guardian or conservator, she says: "I don't need any help, I can care for myself."
As to the reason why, she says of Creighton: "He's a younger person and has not shown too much interest in me."
Note that she is never asked whether she wants her eldest son, Sam, appointed as her guardian or conservator.
Also note that the report claims that she was not oriented as to time, because when asked what date it was, she said "February 28th or March 1st or something" whereas the actual date was February 27.
The original of this report is posted in JPG format on the Internet at http://www.anusha.com/creport.htm
The undersigned court-appointed visitor in this guardianship proceeding submits the following report concerning the investigation which I conducted pursuant to Section 62-5-30 the South Carolina Probate Code. In my visit to the place where the allegedly incapacitated person resides, I observed the following.
REPORT ON THE INCAPACITATED PERSON
1. Date and place of interview: 2/27/91 Aiken Adult Care, Aiken, South Carolina
2. Oriented as to time and place? YES NO When asked this question, she stated "February 28th or March 1st or something."
3. Physical Appearance. Neatly dressed and groomed. Ms. Sloan had on slacks and a sweater.
4. Who are his/her closest family members? She stated, "I can't answer that. I don't see them too often."
5. Does he/she have a doctor? NO YES If yes, please list the doctor's name, address, and phone number.
Dr. Milot  1518 A Two Notch Road, Aiken, SC     29803  803-648-6341 
Dr. Haas   210 University Parkway, NW, Aiken, SC     29801  803-649-7989
6. Does he/she have an attorney? NO YES If yes, please list the attorney's name, address, and phone number.
Paige Weeks Johnson, Attorney and Guardian ad Litem for Ms. Sloan. 
Post Office Box   2619, Aiken, South Carolina 29802      803-649-5338
7. Does she think/she needs help caring for himself/herself? NO YES If yes, in what areas?
8. Would she like help in caring for himself/herself? 0 YES NO She stated, "I don't need any help, I can care for myself."
9. Does she know the proposed Guardian? YES NO
10. How does he/she feel about having that person appointed as her guardian? She stated, "He's a younger person and has not shown too much interest in me."
11. Does he/she feel any of the guardian powers or duties should be limited or restricted in any way? If so, how? No response
12. How does he/she feel about the proposed guardianship? No response
13. How does he/she feel about the proposed scope and duration of the proposed guardianship?
FORM #53IPC (1/89) 
62-5-303.62-5-308 62-5-309,62-5-414 
GRAPHIC PRESS/3631 Delree Street, West, Colombia, SC 29169/(803) 796-4207 
PAGE 1 OF 3
|  |